UNDERSTANDING THE BIGO LIVE TIER SYSTEM: LEVEL UP YOUR EARNINGS
Introduction: What Is the BIGO Live Tier System?
If youâve ever wondered how some BIGO Live hosts seem to consistently rake in rewards, itâs all about understanding the platformâs tier system. Think of it as the backbone of BIGO Live's earnings modelâa structured path that transforms your streaming hours into a sustainable income.
Hereâs the good news: leveling up your tier is not about luck. Itâs about strategy, dedication, and having the right guidance. With over three years of experience managing 300+ hosts, Iâve helped many livestreamers climb the ranks, and now Iâm going to share everything you need to know to make the tier system work for you.
What Are BIGO Live Tiers?
The tier system is BIGO Liveâs way of categorizing hosts based on their streaming hours and the number of beans they collect. Beans, for those new to the platform, are the virtual currency you earn when viewers send you gifts. These beans can be converted into real money, making them the lifeblood of your BIGO Live income.
The tiers range from beginner levels like 3K and 5K, where hosts are just starting to explore their streaming potential, to advanced levels like 800K or more, where you can truly maximize your earnings.
Why Are Tiers So Important?
Higher Tiers = Higher Paychecks: The more you stream and earn beans, the higher your payout multiplier.
Tier Requirements Keep You Consistent: Meeting both hour and bean targets ensures you stay active and engaged with your audience.
Recognition and Growth: Higher tiers increase your visibility, helping you build a loyal fan base.
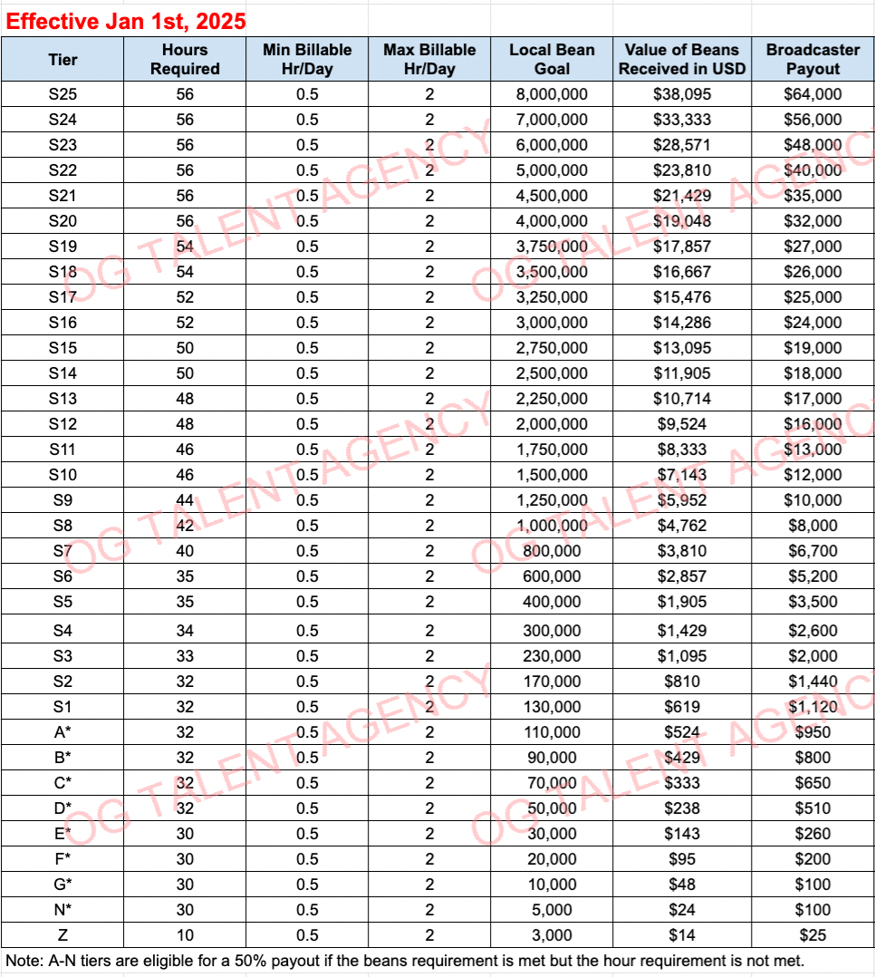
Breaking Down the Local Beans Remuneration Chart
To truly understand how tiers work, you need to familiarize yourself with the local beans remuneration chart. This chart outlines how many beans you need to collect and how many hours you need to stream to qualify for each tier.
Hereâs a simplified version:
3K-90K Tier: Entry-level tiers. Minimal bean and hour requirements. Ideal for beginners getting their footing on the app.
130K-600K Tier: Mid-tier with slightly higher goals. A stepping stone toward higher earnings.
800K-8MIL Tier: The pinnacle of the tier system. These tiers come with the highest earning potential but require consistency and dedication.
Pro Tip: Always aim to exceed your tier requirements. Surpassing your bean and hour targets not only secures your tier but also positions you as a standout host on the platform.
How to Move from a 5K Tier to 130K or More Tiers: A Step-by-Step Guide
Transitioning from lower tiers to higher ones might seem daunting, but with a solid plan, itâs entirely achievable. Hereâs how:
Be Consistent
Stream Regularly: Set a realistic schedule and stick to it. Your audience will begin to anticipate your streams, which builds loyalty.
Hit Your Hour Requirements Early: Donât wait until the last week of the month to cram your hours. Spread them out to avoid burnout.
Engage With Your Audience
Build Connections: Viewers support streamers they feel connected to. Talk to your audience, ask questions, and make them feel valued.
Encourage Gifting: Politely educate your viewers on how sending gifts helps you grow.
Promote Yourself
Use Social Media: Share your stream schedule on Instagram, Facebook, and other platforms. Bring new viewers to BIGO Live.
Collaborate With Other Hosts: Join multi-room events and PK battles to expose your stream to a broader audience.
Learn the Platform
Understand BIGOâs Features: Tools like family support, event participation, and bonus opportunities can significantly boost your progress.
Analyze Successful Hosts: Watch top-tier hosts and learn from their strategies.
The Importance of Meeting Both Hour and Bean Requirements
Hereâs the deal: itâs not enough to only hit one target. BIGO requires hosts to meet both hour and bean goals to maintain their tier. Falling short on either means youâll lose out on the benefits of that tier, including higher payouts.
Hour Goals: These ensure youâre active and available for your audience.
Bean Goals: These measure your engagement and earning potential.
Pro Tip: If youâre struggling with hours, consider doing shorter but more frequent streams. For beans, focus on engaging with your audience and hosting special events to encourage gifting.
Tips to Sustain Growth Beyond 800K Tiers
Once youâve reached the higher tiers, staying there becomes the challenge. Here are some advanced strategies:
Experiment With Content: Keep your streams fresh by trying new themes or activities.
Reward Loyal Viewers: Acknowledge and celebrate your top gifters to encourage continued support.
Use Data: Track your performance using BIGOâs analytics tools to identify what works and what doesnât.
Common Misconceptions About the Tier System
Letâs clear up a few myths:
1. âI need thousands of viewers to succeed.â Not true. Engagement matters more than numbers. A small, loyal audience can generate significant earnings.
2. âHigher tiers are only for full-time streamers.â While full-time streaming helps, part-time hosts can also reach high tiers with strategic planning.
3. âI can slack off once I hit my tier.â BIGO evaluates performance monthly. Consistency is key to maintaining your status.
FAQs About BIGO Live Tiers
Q: What happens if I donât meet my tier requirements?
A: Youâll drop to a lower tier for the following month, which means reduced payouts.
Q: Can I jump multiple tiers in one month?
A: Yes! If you surpass your bean and hour targets, you can leapfrog tiers.
Q: How do I know which tier Iâm in?
A: Check your BIGO Live dashboard for real-time updates on your tier progress.
Conclusion: Take Control of Your Success
The BIGO Live tier system isnât just about numbersâitâs about building a sustainable income by being consistent, engaging, and strategic. Whether youâre just starting as a 5K tier host or aiming for 8MIL, remember that the journey is yours to own.
Stay focused, stay motivated, and remember my motto: Be You. Go LIVE. Get Paid. Now go get those beans, OGs!



